Instance Verification Kit (IVK)
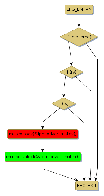
mutex lock @ [66041+30+/linux-3.19-rc1/drivers/char/ipmi/ipmi_msghandler.c]
Instance Signature: ipmidriver_mutex
|
The Matching Pair Graph:
|
|
Function Name
|
Control Flow Graph (CFG)
|
Events Flow Graph (EFG)
|
Source Correspondence
|
|
ipmi_bmc_register
|
|
|
[63601+17+/linux-3.19-rc1/drivers/char/ipmi/ipmi_msghandler.c]
|